作者:冯玲
引言
三氟苯嘧啶是美国杜邦公司于2011 年12 月22 日提出PCT 申请,在中国、欧洲和美国等国家和地区获得专利授权,开发代号DPX-RAB55的新型介离子杀虫剂。

图1 三氟苯嘧啶的化学结构式示意图
合成路线
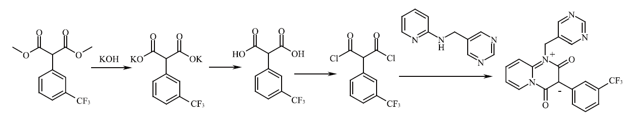
三氟苯嘧啶的合成路线主要有2条,均以N-(5-嘧啶基)甲基-2-吡啶胺、2-[3-(三氟甲基)苯基]丙二酸为关键中间体。
路线1中N-(5-嘧啶基)甲基-2-吡啶胺以2-氨基吡啶为起始原料,经与5-醛基嘧啶缩合,硼氢化钠还原制得,步骤繁琐。间三氟甲基碘苯与丙二酸二甲酯经偶联制得2-[3-(三氟甲基)苯基]丙二酸二甲酯,再经水解制得目标中间体2-[3-(三氟甲基)苯基]丙二酸。该中间体再通过大离去基团三氯苯酚的引入和脱去制备三氟苯嘧啶(见图2)

路线2中N-(5-嘧啶基)甲基-2-吡啶胺和2-[3-(三氟甲基)苯基]丙二酸二甲酯的制备与路线1中方法相同。区别在于2-[3-(三氟甲基)苯基]丙二酸二甲酯经由取代的丙二酸二钾盐制得水解产物2-[3-(三氟甲基)苯基]丙二酸(见图3)

登记情况
2016 年7 月29 日,美国杜邦公司的三氟苯嘧啶将在我国获得首登,包括杜邦开发的94%三氟苯嘧啶原药和10% 三氟苯嘧啶悬浮剂,这2种产品毒性很低,都是微毒。2017 年8 月21 日,陕西标正作物科学有限公司的23%溴酰·三氟苯悬浮剂、东莞市瑞德丰生物科技有限公司的11%阿维·三氟苯悬浮剂和深圳诺普信农化股份有限公司的19%氯虫·三氟苯悬浮剂,是国内企业首次登记3种三氟苯嘧啶产品。三氟苯嘧啶于2017年8月31日在中国获准正式登记。截止到2022年9月8日,我国登记的含有效成分三氟苯嘧啶的产品共计6个,其中5个制剂和1个原药,登记的制剂类型大多为悬浮剂,其中只有1个是水分散粒剂。(网址:http://www.chinapesticide.org.cn/hysj/index.jhtml)

应用前景
三氟苯嘧啶属于新型嘧啶类化合物,是一种新型介离子类杀虫剂,作用于昆虫的烟碱乙酞胆碱受体(nAChR),但作用机理与新烟碱类杀虫剂不同,三氟苯嘧啶是通过竞争性结合 nAChR上的正构位结合,抑制该结合位点。减少昆虫的神经冲动或阻断神经传递,最终影响害虫取食、生殖等生理行为,导致死亡。


三氟苯嘧啶内吸性良好,耐雨水冲刷,较同类产品持效期长,并且能与氯虫苯甲酰胺、溴氰虫酰胺、阿维菌素和甲氨基阿维菌素苯甲酸盐等进行混配,试验结果表明混配剂高效,对鳞翅目和同翅目害虫防效好,具有高效、安全、环境友好等特点。三氟苯嘧啶能促进水稻生长,具有良好的提质增产效果。该药剂登记作物主要是水稻,叶面喷雾防治水稻飞虱和叶蝉等。
作为第一个商业化的介离子嘧啶酮类杀虫剂,三氟苯嘧啶以其新颖的作用机理和对同翅目害虫的高防效、长持效性,对哺乳动物和有益生物的无影响或低毒性,对水稻等作物安全的突出特点而被高度关注。通过其与不同或相似作用机理的杀虫剂复配,可以扩大杀虫谱,发挥协同防除效果,减缓抗性风险。
全部商品分类