作者:夏志铭
氟草啶简介
氟草啶(flufenoximacil,清原内部代号 QYNS101)是清原农冠布局的新一代专利除草活性成分。公司在公开信息中将其定位为触杀型、灭生性除草剂,并归入 PPO 抑制剂体系,强调其在灭生性除草场景下的快速表现与低用量潜力,以及对环境与后茬安排的友好性。从产业化节奏看,氟草啶的全球商业化以东南亚市场为先:2022 年 4 月底,清原农冠披露包括氟草啶在内的多个专利化合物在柬埔寨实现“全球首次批准/登记”,标志着其从创制化合物向产品化迈出关键一步。在制剂端,清原农冠已明确将氟草啶的首发制剂品牌命名为 “快如风®”; 2024 年 11 月清原农冠召开全国上市发布会,意味着该产品层面已进入市场推广阶段。
氟草啶的理化性质:
|
分子式 |
C17H14ClF4N3O5 |
|
相对分子质量 |
451.76 |
|
外观 |
白色固体 |
|
沸点 |
468.5±55.0 °C |

氟草啶的结构式
氟草啶的三维结构式
氟草啶作用机理
氟草啶(flufenoximacil)属于原卟啉原氧化酶(Protoporphyrinogen oxidase,PPO)抑制剂,其作用靶点为植物叶绿素和血红素生物合成途径中的关键酶 PPO。该酶负责催化原卟啉原(protoporphyrinogen IX)向原卟啉 IX(protoporphyrin IX)的氧化转化,当氟草啶抑制 PPO 活性后,细胞内原卟啉原大量积累并扩散至叶绿体外,被非特异性氧化生成具有强光敏性的原卟啉 IX,在光照条件下迅速产生活性氧(ROS),诱发脂质过氧化反应,破坏细胞膜完整性,导致电解质外渗、组织坏死和水分失衡,最终使杂草快速枯死。因此,氟草啶表现为典型的触杀型、灭生性茎叶处理除草剂,药效依赖光照、以接触部位为主,具有起效快、可见性强的特点。
氟草啶的合成方法
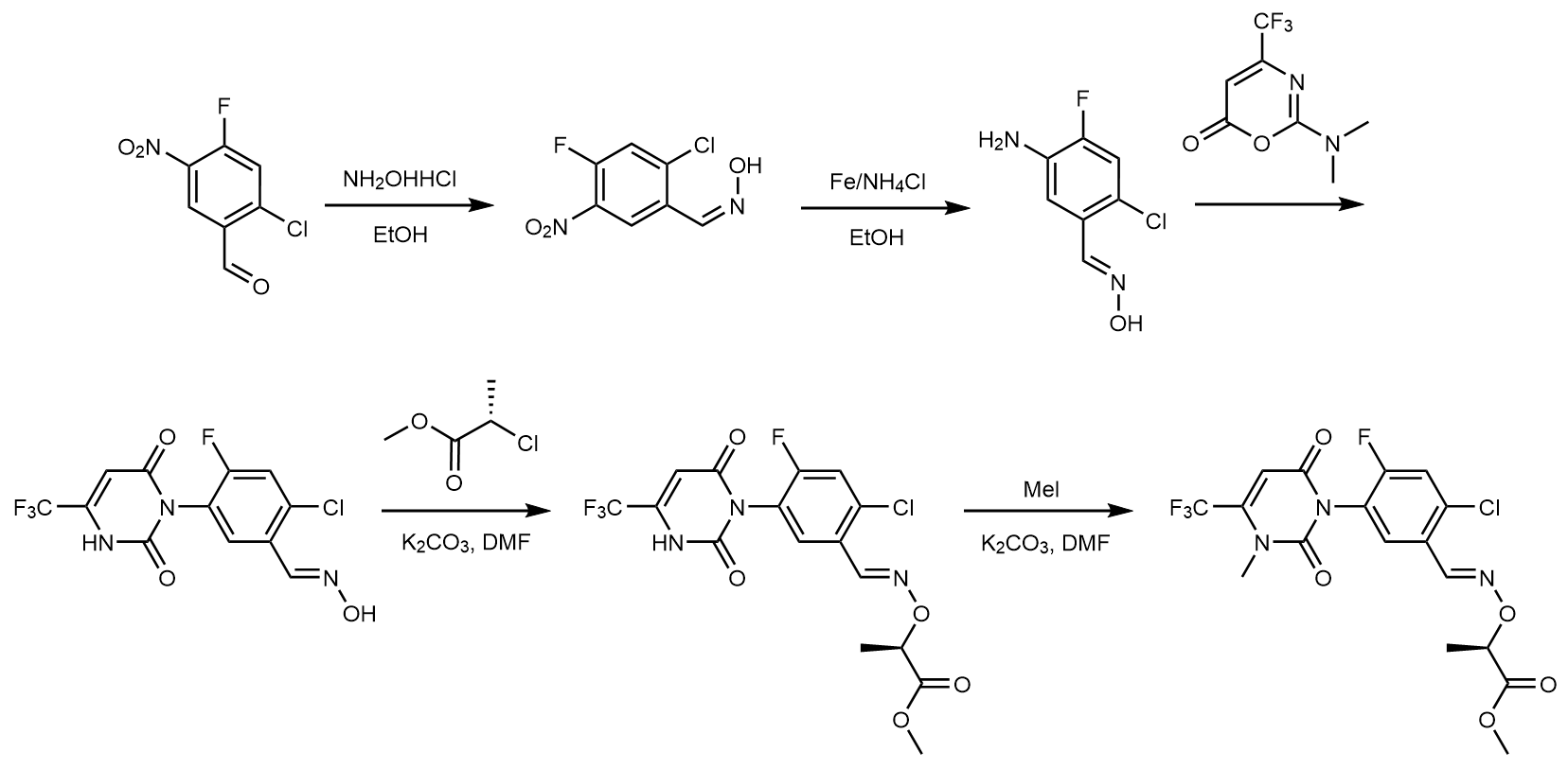
在专利 WO2021/139482A1《一种羧酸衍生物取代的亚氨基芳基化合物及其制备方法、除草组合物和应用》中,清原农冠公开了氟草啶〔标记为化合物 194(R)〕的制备方法,相关合成路线如下面所示。
该路线以取代芳香醛为起始原料,首先通过肟化反应引入 =N–OH 官能团:在盐酸羟胺作用下,芳香醛转化为相应的醛肟中间体。随后,采用 Fe/NH4Cl 体系对硝基进行选择性还原,在保持肟结构不被破坏的前提下,将硝基还原为芳胺,得到关键的氨基肟中间体。该中间体进一步与含三氟甲基取代的嘧啶二酮片段发生亲核取代/缩合反应,构建目标分子的杂环骨架,实现芳环与嘧啶酮结构单元的有效拼接。在后续修饰步骤中,肟羟基在 K2CO3/DMF 条件下与手性卤代酯发生O-烷基化反应,引入取代侧链,生成相应的肟醚衍生物;最后,在碱性条件下以 Mel 进行 N-甲基化,完成对杂环氮原子的取代修饰,得到最终目标化合物氟草啶。
氟草啶的登记情况
根据农业农村部农药登记信息,氟草啶目前在我国已取得 8 个登记证,其中包括2个原药登记和6个制剂登记,剂型涵盖乳油、微乳剂等剂型。
小结
从市场角度看,氟草啶作为新一代触杀型灭生性除草剂,兼具明确作用机理、快速起效特征与较高的产业集中度,展现出良好的差异化竞争优势。在当前杂草防控领域,长期依赖少数几类主流除草剂导致抗性问题日益突出,而氟草啶以 PPO 抑制为靶点、以茎叶处理为主的作用模式,为非选择性除草及抗性杂草管理提供了新的技术选项;同时,其从原药到多剂型制剂的系统性登记布局,表明其已具备规模化生产与规范化推广的法规基础。在产品层面,氟草啶“快效、触杀、灭生”的定位契合当前播前清茬、果园行间管理、非耕地治理等高频应用场景,对标已商品化的同类品种形成直接替代与升级空间;在战略层面,清原农冠将其纳入生物技术育种与抗除草剂性状配套的储备体系,也进一步放大了其在未来作物管理体系中的延展价值。综合技术特征、监管进展与产业布局,氟草啶不仅具备在现有灭生性除草市场中实现快速切入的现实优势,也在抗性治理与新型作物管理模式中蕴含中长期增长潜力。
全部商品分类